Все о транспорте
 

Расчёт процесса сгорания

Количество воздуха, теоретически необходимое для сгорания 1 кг топлива

где средний элементарный весовой состав 1 кг дизельного топлива:

С = 0,87 кг - углерод;

Н = 0,126 кг – водород;

О = 0,004 кг – кислород.

Количество свежего заряда

Мз = a × Мо = 1,9 × 0,495 = 0,942.

Количество продуктов сгорания

где средний элементарный весовой состав 1 кг дизельного топлива:

С = 0,87 кг - углерод;

Н = 0,126 кг – водород;

О = 0,004 кг – кислород;

a = 1,9 – коэффициент избытка воздуха;

Мо = 0,945 - количество воздуха, теоретически необходимое для сгорания.

Теоретический коэффициент молекулярного изменения

гдеМг = 0,977 – количество продуктов сгорания;

Мз = 0,942 – количество свежего заряда.

Действительный коэффициент молекулярного изменения

гдеbо = 1,037 - теоретический коэффициент молекулярного изменения;

gг = 0,02 – коэффициент остаточных газов.

Коэффициент молекулярного изменения в точке z

гдеbо = 1,037 - теоретический коэффициент молекулярного изменения;

gг = 0,02 – коэффициент остаточных газов;

zz = 0,76, zb = 0,9 - коэффициенты полезного тепловыделения.

рс = 8,239 МПа – давление в конце процесса сжатия.

Температуру в точке z найдём с помощью итераций.

В начале примем Тz = 2000К.

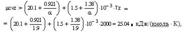
Средняя теплоёмкость рабочего тела при высоких температурах

гдеa = 1,9 – коэффициент избытка воздуха.

Максимальная температура сгорания

гдеa = 1,9 – коэффициент избытка воздуха;

zz = 0,76 - коэффициент полезного тепловыделения;

gг = 0,02 – коэффициент остаточных газов;

bz = 1,031 - коэффициент молекулярного изменения в точке z;

l = 1,4 – степень повышения давления в процессе сгорания;

mСVс = 22,1 кДж/(кмоль × К) - средняя теплоёмкость при сжатии;

Мз = 0,942 – количество свежего заряда;

Qн = 42530 кДж/кг – низшая теплотворная способность дизельного топлива;

Тс = 1094К – температура в конце процесса сжатия.

Примем Тz =Tz1 = 2051К.

Средняя теплоёмкость рабочего тела при высоких температурах

 
 

Хранение хлеба
Укладка в лотки хлеба и хлебобулочных изделий должна производиться в соответствии с правилами укладки, хранения и перевозки хлеба и хлебобулочных изделий по ГОСТ 8227-56. Выпеченные изделия укладывают в чистые деревянные лотки (изделия с дефектами отбраковывают). Допускается также укладка в лотки из полимерных материалов. Применяют два вида деревянных лотков: трехбортные лотки с решетчатым дном (для крупных изделий) и четырехбортные со сплошны ...

Организация работ в отделении декоративного напыления
В отделение наносят защитно-декоративное покрытие на детали вагонов и полируют алюминиевые детали. Программа ремонта определяется с учетом обеспечения поточности ремонтных операций ВСУ. Оборудование отделения декоративного напыления. Оборудование отделения декоративного напыления приведено в таблице 13. Таблица 13. Ведомость оборудования отделения декоративного напыления. Наименование Кол-во шт Примечание 1.Установка трибост ...

Осуществление процесса диагностики автоматических трансмиссий на стенде К-467М
Перед выполнением диагностических работ по автоматическим трансмиссиям автомобиля необходимо проводить испытания на тягово-силовом стенде. Эти испытания позволяют с большой точностью определить причину неисправности, так как рассматривают функционирование АКПП в имитации реальных условий эксплуатации. После модернизации стенда появится возможность задать абсолютно любой режим и цикл режимов нагружений, а также благодаря непосредственному доступ ...